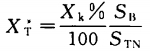
A.1.9
B.1.85
C.1.8
D.2
A.1
B.2
C.3
D.4
开始考试点击查看答案A.
B.
C.
D.
A.ABC三相相同
B.只有BC两相相同
C.只有AB两相相同
D.只有AC两相相同
开始考试点击查看答案A.具有调整库容的大型水电厂
B.核电厂
C.火力发电厂
D.径流式大型水力发电厂
开始考试点击查看答案A.2%〜5%
B.4%〜5%
C.5%〜7%
D.5%〜10%
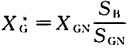
开始考试点击查看答案A.1.9
B.1.85
C.1.8
D.2
开始考试点击查看答案A.
B.
C.
D.
A.暂态过程
B.稳态过程
C.故障状态
D.不确定
开始考试点击查看答案A.525kV
B.520kV
C.515kV
D.500kV
开始考试点击查看答案A.越低
B.越髙
C.不变
D.不确定
开始考试点击查看答案高电压专项练习1--电介质的极化、电导和损耗
类别:电力工程基础-高电压高电压专项练习2--线路和绕组中的波过程
类别:电力工程基础-高电压高电压专项练习3--电气设备的绝缘试验
类别:电力工程基础-高电压高电压专项练习4--固体、液体和组合绝缘的击穿特性
类别:电力工程基础-高电压高电压专项练习5--电力系统的防雷保护
类别:电力工程基础-高电压高电压专项练习6--雷电及防雷装置
类别:电力工程基础-高电压高电压专项练习7--气体放电过程及其击穿特性
类别:电力工程基础-高电压高电压专项练习8--电力系统内部过电压
类别:电力工程基础-高电压电气设备专项练习1--概述
类别:电力工程基础-电气设备电气设备章节练习2--电气设备相关的基本理论和分析方法
类别:电力工程基础-电气设备长理培训客户端 资讯,试题,视频一手掌握
去 App Store 免费下载 iOS 客户端