A.三相短路
B.两相短路
C.单相接地短路
D.两相短路接地
,则△侧三相线路上电流错误的为()
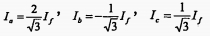
A.
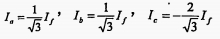
B.
C.
D.
A.中性点不接地系统发生单相接地短路时,中性点电位升至相电压
B.中性点不接地系统发生单相接地短路时,非故障相电压升至线电压
C.两相短路不接地没有零序分量且正序和负序电流大小相等,方向相同
D.两相短路,非故障相电压等于故障前电压,故障相电压幅值降低半
开始考试点击查看答案A.三相短路
B.两相短路
C.单相短路
D.两相短路接地
开始考试点击查看答案A.由于架空地线的影响,线路的零序阻抗将增大
B.由于架空地线的影响,线路的零序阻抗将减小
C.架空地线相当于导线旁边的一个短路线圈,它对导线起去磁作用
D.架空地线相当于导线旁边的一个短路线圈,它对导线起增磁作用
开始考试点击查看答案A.如果三相导线不是对称排列,则每两个“导线-大地”回路间的互电抗是不相等的
B.零序电抗较之正序电抗几乎大三倍,这是由于零序电流三相同相位,相间的互感使每相的等值电感增大的缘故
C.平行架设的两回三相架空输电线中通过方向相同的零序电流时,第一回路的任意两相对第三相的互感产生助磁作用
D.第二回路的所有三相对第一回路的第三相的互感也产生助磁作用
开始考试点击查看答案A.各相阻抗对称性的破坏;
B.负荷对称性的破坏;
C.电压对称性的破坏;
D.非全相运行
开始考试点击查看答案A.一相或者两相的断线,单相接地后故障相断路器的跳闸,都会遗成系统的非全相运行;
B.非全相运行和不对称短路都是不对称故障,都可以用对称分量法进行分析:
C.电力系统在非全相运行时,一般没有大电流和高电压产生,因此危害不大;
D.非全相运行产生的负序电流会造成发电机转子过热,零序电流会影响附近的通讯线路。
开始考试点击查看答案A.要计算网络中任意处的电流和电压,必须先在各序网中求得该处的电流和电压的各序分量,然后合成为三相电流和电压;
B.正序和负序电流和电压,经过Y/y0变压器后相位不变;
C.正序和负序电流和电压,经过YI
D.11变压器后,正序分量Y侧比△侧超前30°;D.正序和负序电流和电压,经过Y/D.11变压器后,负序分量Y侧比△侧滞后30°
开始考试点击查看答案A.正确
B.错误
开始考试点击查看答案A.正确
B.错误
开始考试点击查看答案长理培训客户端 资讯,试题,视频一手掌握
去 App Store 免费下载 iOS 客户端