¥5.00
推荐等级:A.45°
B.90°
C.60°
D.0°
开始考试练习点击查看答案A.
B.
C.
D.以上都不对
开始考试练习点击查看答案A.大于
B.小于
C.等于
D.不确定
开始考试练习点击查看答案A.10%
B.20%
C.30%
D.25%
开始考试练习点击查看答案A.燃料消耗率、厂用电率、网损率
B.燃料消耗率、建设投资、网损率
C.网损率、建设投资、电压畸变率
D.网损率、占地面积、建设投资
开始考试练习点击查看答案A.交流500kV通常用于区域电力系统的输电网络
B.交流220kV通常用于地方电力系统的输电网络
C.交流3 kV及以下电压等级通常用于配电网络
D.除10kV电压等级用于配电网络外,10kV以上电压等级都只用于输电网络
开始考试练习点击查看答案A.n-m-1
B.n-m-2
C.1
D.可能为0
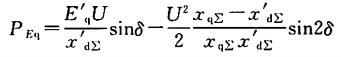
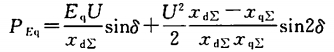
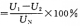
开始考试练习点击查看答案A.电压损耗%
B.电压损耗%
C.电压损耗%
D.电压损耗%
A.
B.
C.
D.
A.直接接地
B.不接地
C.经消弧线圈接地
D.不接地或经消弧线圈接地
开始考试练习点击查看答案高电压专项练习1--电介质的极化、电导和损耗
类别:电力工程基础-高电压高电压专项练习2--线路和绕组中的波过程
类别:电力工程基础-高电压高电压专项练习3--电气设备的绝缘试验
类别:电力工程基础-高电压高电压专项练习4--固体、液体和组合绝缘的击穿特性
类别:电力工程基础-高电压高电压专项练习5--电力系统的防雷保护
类别:电力工程基础-高电压高电压专项练习6--雷电及防雷装置
类别:电力工程基础-高电压高电压专项练习7--气体放电过程及其击穿特性
类别:电力工程基础-高电压高电压专项练习8--电力系统内部过电压
类别:电力工程基础-高电压电气设备专项练习1--概述
类别:电力工程基础-电气设备电气设备章节练习2--电气设备相关的基本理论和分析方法
类别:电力工程基础-电气设备长理培训客户端 资讯,试题,视频一手掌握
去 App Store 免费下载 iOS 客户端