¥5.00
推荐等级:A.变压器釆用星形、三角形接线
B.加装调谐滤波器
C.并联补偿电容器,串联电抗器
D.增加整流器的脉动数
开始考试练习点击查看答案A.管理线损
B.可变损耗
C.理论线损
D.不明线损
开始考试练习点击查看答案A.双回路链式
B.双回路干线式
C.环式
D.两端供电网
开始考试练习点击查看答案A.认为非周期分量、负序分量和零序分量都已衰减到零
B.负序分量和零序分量都已衰减到零,非周期分量电流对转子的平均电磁转矩为零
C.非周期分量已衰减到零,负序分量电流对转子的平均电磁转矩为零,零序电流一般情况下不会流人发电机定子绕组,即使流人发电机定子绕组也不会在发.电机气隙中产生电枢反应磁通
D.非周期分量、负序分量和零序分量都不会在发电机气隙中产生电枢反应磁通,故对发
开始考试练习点击查看答案A.提高电力系统在发生三相短路情况下的暂态稳定性
B.提髙电力系统在发生两相短路情况下的暂态稳定性
C.提高电力系统在发生单相接地短路情况下的暂态稳定性
D.提髙电力系统在发生两相接地短路情况下的暂态稳定性
开始考试练习点击查看答案A.电力系统暂态稳定和静态稳定问题都是研究电力系统受到干扰后的功角问题
B.电力系统的静态稳定问题实际上就是确定系统的某个运行稳态能否保持的问题
C.如果系统能够承受短时的异步运行,并有可能将系统再次拉人同步,那么就可以缩短系统恢复正常运行所需要的时间
D.一个系统的暂态稳定情况与系统原来的运行方式以及干扰的方式有关
开始考试练习点击查看答案A.中性点不接地系统发生单相接地短路时,中性点电位升至相电压
B.中性点不接地系统发生单相接地短路时,非故障相电压升至线电压
C.两相短路不接地没有零序分量,且正序和负序电流大小相等,方向相同
D.两相短路,非故障相电压等于故障前电压,故障相电压幅值降低一半
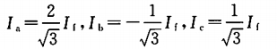
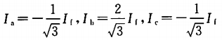
开始考试练习点击查看答案A.
B.
C.
D.
A.发电机并列运行的静态稳定性是指正常运行的发电机受到小干扰后,恢复到原始运行状态的能力
B.分析同步发电机并列运行的静态稳定性的方法是小干扰法
C.同步发电机并列运行静态稳定的实用判据是
D.分析同步发电机并列运行的静态稳定性的方法是对称分量法
开始考试练习点击查看答案A.提高系统电压
B.采用自动励磁调节装置
C.减小元件的电抗
D.采用自动重合闸
开始考试练习点击查看答案高电压专项练习1--电介质的极化、电导和损耗
类别:电力工程基础-高电压高电压专项练习2--线路和绕组中的波过程
类别:电力工程基础-高电压高电压专项练习3--电气设备的绝缘试验
类别:电力工程基础-高电压高电压专项练习4--固体、液体和组合绝缘的击穿特性
类别:电力工程基础-高电压高电压专项练习5--电力系统的防雷保护
类别:电力工程基础-高电压高电压专项练习6--雷电及防雷装置
类别:电力工程基础-高电压高电压专项练习7--气体放电过程及其击穿特性
类别:电力工程基础-高电压高电压专项练习8--电力系统内部过电压
类别:电力工程基础-高电压电气设备专项练习1--概述
类别:电力工程基础-电气设备电气设备章节练习2--电气设备相关的基本理论和分析方法
类别:电力工程基础-电气设备长理培训客户端 资讯,试题,视频一手掌握
去 App Store 免费下载 iOS 客户端