¥10.00
推荐等级:A.正确
B.错误
开始考试练习点击查看答案A.正确
B.错误
开始考试练习点击查看答案A.正确
B.错误
开始考试练习点击查看答案A.正确
B.错误
开始考试练习点击查看答案根据网孔电流法求解电流为()
A.8
B.6
C.5.
D.4
开始考试练习点击查看答案A.KCL
B.KYL
C.欧姆定律
D.A和B
开始考试练习点击查看答案A.2V
B.4V
C.6V
D.8V
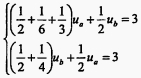
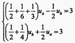
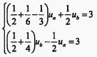
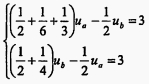
开始考试练习点击查看答案试列出下图电路结点a,b的结点电压方程()。
A.
B.
C.
D.
A.KVLKCL
B.KVL欧姆定律
C.KCL欧姆定律
D.欧姆定律特勒根定理
开始考试练习点击查看答案国家电网考试专科高电压:高电压下气体、液体固体放电原理2
类别:高电压技术国家电网考试专科高电压:电气设备绝缘试验2
类别:高电压技术国家电网考试专科高电压:电介质的极化、电导和损耗
类别:高电压技术国家电网考试专科高电压:气体放电过程及其击穿特性
类别:高电压技术国家电网考试专科高电压:固体、液体和组合绝缘的击穿特性
类别:高电压技术国家电网考试专科高电压:电气设备的绝缘试验
类别:高电压技术国家电网考试专科高电压:线路和绕组中的波过程
类别:高电压技术国家电网考试专科高电压:雷电及防雷装置
类别:高电压技术国家电网考试专科高电压:电力系统的防雷保护
类别:高电压技术国家电网考试专科高电压:电力系统内部过电压
类别:高电压技术长理培训客户端 资讯,试题,视频一手掌握
去 App Store 免费下载 iOS 客户端