¥10.00
推荐等级:A.
B.
C.
D.
A.单相接地短路;
B.两相短路;
C.两相短路接地;
D.三相短路。
开始考试练习点击查看答案A.故障处正序电压、负序电压和零序电压均最高:
B.发电机机端正序电压、负序电压、零序电压均为最高:
C.发电机机端正序电压最高、短路点负序电压和零序电压最高:
D.发电机中性点负序电压和零序电压最高,正序电压最低。
开始考试练习点击查看答案A.三相短路、两相短路、两相短路接地、单相接地短路:
B.单相接地短路、两相短路、两相短路接地、三相短路:
C.两相短路接地、两相短路、单相接地短路、三相短路:
D.两相短路、两相短路接地、单相接地短路、三相短路。
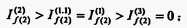
开始考试练习点击查看答案A.三相短路、单相接地短路、两相短路、两相短路接地;
B.单相接地短路、三相短路、两相短路两相短路接地:
C.两相短路、单相接地短路、两相短路接地、三相短路:
D.两相短路、两相短路接地、单相接地短路、三相短路。
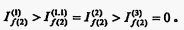
开始考试练习点击查看答案A.三相短路、单相接地短路、两相短路、两相短路接地;
B.单相接地短路三相短路江两相短躁、两相短路接地:
C.单相接地短路、:两相短路接地受两相短路和三相短路相等(都等于零);
D.两相短路两相短路接地。单相接地短路、三相短路。
开始考试练习点击查看答案A.变压婴重形侧卫相线路中都有电流流过,其中故障相中的滞后相电流为其它两相的两信:
B.变屈婴星形衡三相线路中都有电流流过,其中故障相中的超前相电流为其它两植的两倍:
C.变压器星形侧三相线路中只有故障相有电流流过;
D.变压器星形侧三相线路中都有电流流过,其中非故障相中电流为故障相电流的两倍。
开始考试练习点击查看答案A.变压器三角形侧三相线路中都有电流流过,其中故障相中的滞后相电流为其它两相的两倍:
B.变压器三角形侧三相线路中都有电流流过,其中故障相中的超前相电流为其它两相的两倍:
C.变压器三角形侧仅故障相线路中有电流流过;
D.变压器三角形侧三相线路中都有电流流过,其中非故障相线电流为其它两相线电流的两倍。
开始考试练习点击查看答案A.不对称短路时,故障处三相电压不对称所分解出的零序电压是电力系统出现零序电流的充分必要条件:
B.只有中性点直接接地系统中发生接地短路时才会产生零序电流:
C.零序电流从短路点流向中性点接地变压器或中性点接地发电机的中性点:
D.不对称短路时,故障处三相电压不对称所分解出的零序电压是电力系统出现零序电流的必要条件,但不是充分条件。
开始考试练习点击查看答案A.任何短路情况下,短路电流中都包含有负序分量;
B.任何相间短路情况下,短路电流中都包含负序分量:
C.只有在发生不对称短路时,短路电流中才会出现负序分量:
D.只有在中性点接地系统发生接地短路时,短路电流中才会出现负序分量
开始考试练习点击查看答案国家电网考试专科高电压:高电压下气体、液体固体放电原理2
类别:高电压技术国家电网考试专科高电压:电气设备绝缘试验2
类别:高电压技术国家电网考试专科高电压:电介质的极化、电导和损耗
类别:高电压技术国家电网考试专科高电压:气体放电过程及其击穿特性
类别:高电压技术国家电网考试专科高电压:固体、液体和组合绝缘的击穿特性
类别:高电压技术国家电网考试专科高电压:电气设备的绝缘试验
类别:高电压技术国家电网考试专科高电压:线路和绕组中的波过程
类别:高电压技术国家电网考试专科高电压:雷电及防雷装置
类别:高电压技术国家电网考试专科高电压:电力系统的防雷保护
类别:高电压技术国家电网考试专科高电压:电力系统内部过电压
类别:高电压技术国家电网考试专科电力系统分析:电力系统的基本概念
类别:电力系统分析国家电网考试专科电力系统分析:电力系统稳定性分析
类别:电力系统分析国家电网考试专科电力系统分析:电力系统基本元件及数学模型
类别:电力系统分析国家电网考试专科电力系统分析:不对称故障分析
类别:电力系统分析国家电网考试专科电力系统分析:电力系统的无效功率和电压调整
类别:电力系统分析国家电网考试专科电力系统分析:电力系统三相短路分析
类别:电力系统分析国家电网考试专科电力系统分析:有功平衡和频率调整
类别:电力系统分析国家电网考试专科电力系统分析:简单电力网的潮流计算
类别:电力系统分析国家电网考试专科电力系统分析:计算机潮流计算
类别:电力系统分析电网专项习题不对称故障分析
类别:电力系统分析长理培训客户端 资讯,试题,视频一手掌握
去 App Store 免费下载 iOS 客户端