¥10.00
推荐等级:A.接线简单、灵敏度低
B.接线简单、可靠性低
C.动作迅速和保护区稳定
D.接线简单、灵敏度高、保护区稳定
开始考试练习点击查看答案A.进行整定值计算时选择最小零序电流,进行校验时选择最大零序电流
B.越靠近故障点动作的保护整定值越大
C.后备保护按照躲开系统正常运行时的最大不平衡电流,定值较大
D.受系统运行方式影响较小
开始考试练习点击查看答案A.故障点距母线越近,电压越高
B.故障点距母线越近,电压越低
C.不管距离远近,基本上电压一样高
D.无法确定
开始考试练习点击查看答案A.与A相电压同相
B.与A相电压相位相差180°
C.超前于A相电压90
D.滞后于A相电压90°
开始考试练习点击查看答案A.大得多
B.小得多
C.看故障点接地电阻大小
D.无法确定
开始考试练习点击查看答案A.速断保护
B.过流保护
C.线路保护不
D.低周减载
开始考试练习点击查看答案当小接地系统中发生单相金属性接地时,中性点对地电压为( )
A.Ux
B.1/3Ux
C.0
D.√ 3Ux
开始考试练习点击查看答案A.全补偿方式
B.过补偿方式
C.欠补偿方式
D.零补偿方式
开始考试练习点击查看答案A.全补偿
B.过补偿
C.欠补偿
D.视情况而定
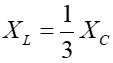
开始考试练习点击查看答案消弧线圈在运行时,如果消弧线圈的抽头满足的条件时,这种运行方式称( )。
A.过补偿
B.欠补偿
C.全补偿
D.不补偿
开始考试练习点击查看答案长理培训客户端 资讯,试题,视频一手掌握
去 App Store 免费下载 iOS 客户端