免费
推荐等级:A.1800VA
B.600VA
C.600W
D.1800W
开始考试练习点击查看答案A.正确
B.错误
开始考试练习点击查看答案A.三相三线制电路
B.对称三相三线制电路
C.三相四线制电路
D.不对称三相三线制电路
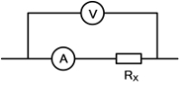
开始考试练习点击查看答案A.电压表读数大于 Rx两端的实际电压,电流表读数大于通过 Rx的实际电流
B.电压表读数大于 Rx两端的实际电压,电流表读数等于通过 Rx的实际电流
C.电压表读数等于 Rx两端的实际电压,电流表读数大于通过 Rx的实际电流
D.电压表读数等于 Rx两端的实际电压,电流表读数等于通过 Rx的实际电流
开始考试练习点击查看答案长理培训客户端 资讯,试题,视频一手掌握
去 App Store 免费下载 iOS 客户端