¥60.00
推荐等级:A.灭弧和散热
B.限流和灭弧
C.绝缘和散热
D.绝缘和灭弧
开始考试练习点击查看答案
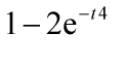
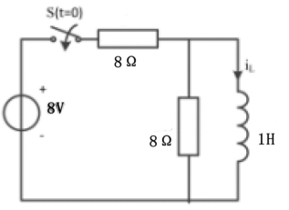
(0.5)A.
B.1-2e4t
C.
D.
A.A相电压
B.B相电压
C.BC 线电压
D.AB 线电压
开始考试练习点击查看答案A.保护范围与过渡阻抗无关
B.系统最小方式下的保护范围最大
C.系统最大方式下的保护范围最大
D.保护范围不受故障类型的影响
开始考试练习点击查看答案A.变压器的等值漏电抗增大
B.变压器的等值漏电抗减小
C.变压器的等值电阻降低
D.变压器的等值励磁电抗增大
开始考试练习点击查看答案A.零功率因数特性和空载特性
B.零功率因数特性和调整特性
C.调整特性和空载特性
D.短路特性和调整特性
开始考试练习点击查看答案A.测量阻抗大于整定阻抗就动作
B.动作阻抗可能大于整定阻抗
C.测量阻抗小于动作阻抗就动作
D.动作阻抗一定等于整定阻抗
开始考试练习点击查看答案A.多雷区
B.强雷区
C.少雷区
D.中雷区
开始考试练习点击查看答案A.一字型等值电路
B.分布参数等值电路
C.T型等值电路
D.π型等值电路
开始考试练习点击查看答案A.零序电流分量三角形侧较星形侧超前30°
B.正序电流分量星形侧较三角形侧超前 30°
C.正序电流分量三角形侧较星形侧滞后 30°
D.负序电流分量星形侧较三角形侧超前30°
开始考试练习点击查看答案长理培训客户端 资讯,试题,视频一手掌握
去 App Store 免费下载 iOS 客户端