¥10.00
推荐等级:A.4和3
B.3和3
C.3和4
D.4和4
开始考试练习点击查看答案A.
B.
C.
D.
A.0.4A
B.0.5A
C.0.6A
D.0.7A
开始考试练习点击查看答案A.电流源不允许短路
B.电压源不允许短路
C.电流源允许开路
D.电压源允许短路
开始考试练习点击查看答案A.
B.
C.
D.
A.正确
B.错误
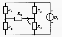
开始考试练习点击查看答案A.是以假想网孔电流作为独立变量求解电路的方法
B.它仅使用于平面电路
C.利用基尔霍夫电流定律列写网孔电压方程,进行网孔电流的求解
D.自电阻始终取正值,互电阻的符号由通过公共文路电阻上的两个网孔电流的流向而定。
开始考试练习点击查看答案A.正确
B.错误
开始考试练习点击查看答案A.自感磁通链
B.互感磁通链
C.自感电流链
D.互感电流链
开始考试练习点击查看答案A.150Ω
B.50Ω
C.100Ω
D.300Ω
开始考试练习点击查看答案长理培训客户端 资讯,试题,视频一手掌握
去 App Store 免费下载 iOS 客户端