¥10.00
推荐等级:A.正负零序励磁电抗不相等,但数值很大
B.正负零序励磁电抗相等,且数值很大
C.正负零序磁通都按相在其本身的铁芯中形成回路
D.ABC三相磁路独立
开始考试练习点击查看答案A.只要发生短路,短路电流中一定存在负序分量
B.发生相间短路,短路电流中都包含负序分量
C.发生不对称短路,短路电流中包含负序分量
D.只有在中性点接地系统发生接地短路时,短路电流中才会出现负序分量
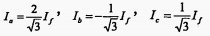
开始考试练习点击查看答案A.
、
、
、
B.
、
、
、
C.
、
、
、
D.
、
、
、
A.变压器另一侧绕组中一定没有零序电流流通
B.变压器的等效零序电抗无穷大
C.变压器中另一侧绕组中有零序电流但很小
D.变压器的等效零序阻抗比较小
开始考试练习点击查看答案A.幅值相等
B.相位相等
C.相位顺时针相差120°
D.相位逆时针相差120°
开始考试练习点击查看答案
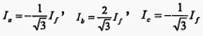
,则△侧三相线路上电流错误的为( )。
A.
B.
C.
D.
A.不管断线发生在任何电力系统,系统中总会出现零序电流
B.只有断线发生在中性点直接接地系统时,系统中才会出现零序电流
C.不管断线发生在在何电力系统的任何位置,系统中总会出现负序电流
D.只有断线发生在中性点直接接地系统时,系统中才会出现负序电流
开始考试练习点击查看答案A.架空线路的架设方式
B.架空线路的架设结构
C.架空线路的材料
D.架空回路有无地线
开始考试练习点击查看答案
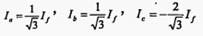
的电力系统,同一地点发生三相金属性短路、两相金属性短路、两相金属性短路接地和单相金属性接地短路时,短路点的负序电流大小关系错误的是( )。A.
B.
C.
D.
A.由于架空地线的影响,线路的零序阻抗将增大
B.由于架空地线的影响,线路的零序阻抗将减小
C.架空地线相当于导线旁边的一个短路线圈,它对导线起去磁作用
D.架空地线相当于导线旁边的一个短路线圈,它对导线起增磁作用
开始考试练习点击查看答案第八章 电力系统稳定性分析(暑假班1)
类别:电分课后习题第七章 电力习题简单故障分析与计算(暑假班2)
类别:电分课后习题第七章 电力习题简单故障分析与计算(暑假班1)
类别:电分课后习题第六章 电力系统故障的基本概念(暑假班2)
类别:电分课后习题第六章 电力系统故障的基本概念(暑假班1)
类别:电分课后习题第五章 电力系统无功功率和电压调整(暑假班2)
类别:电分课后习题第五章 电力系统无功功率和电压调整(暑假班1)
类别:电分课后习题第四章 电力系统有功功率和频率调整(暑假班2)
类别:电分课后习题第四章 电力系统有功功率和频率调整(暑假班1)
类别:电分课后习题第三章 电力系统潮流分析与计算(暑假班2)
类别:电分课后习题第七章 电力习题简单故障分析与计算(暑假班1)
类别:电分课后习题第一章 电力系统的基本概念(暑假班1)
类别:电分课后习题第四章 电力系统有功功率和频率调整(暑假班1)
类别:电分课后习题第二章 电力系统各元件特性及数学模型(暑假班1)
类别:电分课后习题第二章 电力系统各元件特性及数学模型(暑假班2)
类别:电分课后习题第七章 电力习题简单故障分析与计算(暑假班2)
类别:电分课后习题第四章 电力系统有功功率和频率调整(暑假班2)
类别:电分课后习题第三章 电力系统潮流分析与计算(暑假班2)
类别:电分课后习题第六章 电力系统故障的基本概念(暑假班2)
类别:电分课后习题第八章 电力系统稳定性分析(暑假班1)
类别:电分课后习题长理培训客户端 资讯,试题,视频一手掌握
去 App Store 免费下载 iOS 客户端