¥10.00
推荐等级:A.一定存在零序分量
B.一定不存在零序分量
C.是否存在零序分量,应根据不对称短路类型确定
D.只有正序分量
开始考试练习点击查看答案A.变压器星形侧三相线路中都有电流流过,其中故障相中的滞后相电流为其它两相的两倍
B.变压器星形侧三相线路中都有电流流过,其中故障相中的超前相电流为其它两相的两倍
C.变压器星形侧三相线路中只有故障相有电流流过
D.变压器星形侧三相线路中都有电流流过,其中非故障相中电流为故障相电流的两倍
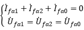
开始考试练习点击查看答案A.
B.
C.
D.短路点的正序电压等于0
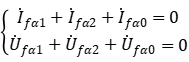
开始考试练习点击查看答案A.
B.
C.
D.
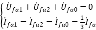
A.
B.
C.
D.
A.两相短路
B.两相短路接地
C.单相接地短路
D.两相断线
开始考试练习点击查看答案A.产生谐波、负序、零序
B.产生负序、零序
C.产生谐波、负序
D.产生谐波、零序
开始考试练习点击查看答案A.最高为线电压
B.最高为相电压
C.最低为零
D.以上均不正确
开始考试练习点击查看答案A.不变
B.变大
C.变小
D.不确定
开始考试练习点击查看答案A.30°
B.45°
C.60°
D.90°
开始考试练习点击查看答案第八章 电力系统稳定性基本概念和同步电机的机电特性(9-12月
类别:电分课后习题第七章 电力系统简单故障分析与计算(9-12月份)
类别:电分课后习题第六章 电力系统故障基本概念(9-12月份)
类别:电分课后习题第五章 电力系统无功功率和电压调整 (9-12月份)
类别:电分课后习题第四章 电力系统有功功率和频率调整 (9-12月份)
类别:电分课后习题第三章 电力系统潮流分析与计算(9-12月份)
类别:电分课后习题第二章 电力系统各元件特性和数学模型(9-12月份)
类别:电分课后习题第一章 电力系统的基本概念(9-12月)
类别:电分课后习题第八章电力系统内部过电机理、类型及防护措施(9-12月份)
类别:高电压课后习题第七章 雷电放电机理及电力系统防雷保护(9-12月份)
类别:高电压课后习题长理培训客户端 资讯,试题,视频一手掌握
去 App Store 免费下载 iOS 客户端