¥100.00
推荐等级:A.电压
B.波形
C.频率
D.幅值
开始考试练习点击查看答案A.电子式极化
B.离子式极化
C.偶极子极化
D.夹层极化
开始考试练习点击查看答案A.短路点零序电压最高
B.短路点负序电压最高
C.短路点正序电压最高
D.任何接地方式,不对称短路都会出现负序分量
开始考试练习点击查看答案A.强迫换流
B.电网换流
C.负载换流
D.器件换流
开始考试练习点击查看答案
(0.5)A.正确
B.错误(0.5)
开始考试练习点击查看答案A.正确
B.错误(0.5)
开始考试练习点击查看答案
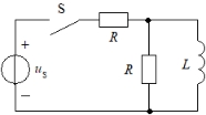
,断开后的时间常数为
,则
和
的关系是
。
() (0.5)A.正确
B.错误(0.5)
开始考试练习点击查看答案A.正确
B.错误(0.5)
开始考试练习点击查看答案A.正确
B.错误(0.5)
开始考试练习点击查看答案A.正确
B.错误(0.5)
开始考试练习点击查看答案长理培训客户端 资讯,试题,视频一手掌握
去 App Store 免费下载 iOS 客户端