¥5.00
推荐等级:A.{2}
B.{2,5}
C.{5}
D.{1,5}
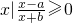
开始考试练习点击查看答案A.{x|-2≤x<4}
B.{x|x≤3或x≥4}
C.{x|-2≤x≤-1}
D.{x|-1≤x≤3}
开始考试练习点击查看答案A.A∩B
B.(?UA)∩B
C.(?UB)∩A
D.?U(A∪B)
开始考试练习点击查看答案A.{b}
B.{d}
C.{a,c}
D.{b,d}
开始考试练习点击查看答案A.{2}
B.{3}
C.{1,2,3}
D.{1,4}
开始考试练习点击查看答案A.{x|x<-3或x>3}
B.{x|-1≤x≤2}
C.{x|-1<x<2}
D.{x|2<x<3}
开始考试练习点击查看答案B.C为三个集合,A∪B=B∩C,则一定有( )。A.A?C B.C?A
C.A≠C
D.A=φ
开始考试练习点击查看答案A.{x|x≤0或x>2}
B.{x|0<x<2}
C.{x|0≤x≤2}
D.{x|0<x≤2}
开始考试练习点击查看答案A.-2
B.2
C.1
开始考试练习点击查看答案A.M?(CUN)
B.M?(CUN)
C.(CUM)=(CUN)
D.M=N
开始考试练习点击查看答案长理培训客户端 资讯,试题,视频一手掌握
去 App Store 免费下载 iOS 客户端