¥10.00
推荐等级:A.超前30度
B.相位相同
C.滞后30度
D.不存在相位关系
开始考试练习点击查看答案A.某一线路单相接地短路后,故障相断路器跳闸
B.导线一相断线
C.导线两相断线
D.导线三相断线
开始考试练习点击查看答案A.
B.
C.
D.
A.
B.
C.
D.
A.0.955kA.
B.0.546kA.
C.0.945kA.
D.1.637kA.
开始考试练习点击查看答案A.10.5kV
B.6.7KV
C.6.06KV
D.5.25KV
开始考试练习点击查看答案A.不管电力变压器的类型和绕组接线方式如何,其正序励磁电抗和负序励磁电抗都可以视为无限大;
B.不管电力变压器的类型和绕组接线方式如何,其零序励磁电抗都可以视为无限大;
C.对于三相组式变压器,其正序励磁电抗、负序励磁电抗和零序励磁电抗都可以视为无限大;
D.当三相变压器包含有三角形接线绕组时,不管变压器的类型如何,其零序励磁电抗都可以视为无限大。
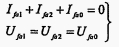
开始考试练习点击查看答案A.适合于一点故障不适合两点故障
B.只适合于一点故障
C.对于一点故障和两点故障都适应
D.线性和非线性都适应
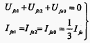
开始考试练习点击查看答案A.大于
B.小于
C.等于
D.不确定
开始考试练习点击查看答案A.5.77kV
B.17.32KV
C.10kV
D.7.07kV
开始考试练习点击查看答案国家电网考试专科高电压:高电压下气体、液体固体放电原理2
类别:高电压技术国家电网考试专科高电压:电气设备绝缘试验2
类别:高电压技术国家电网考试专科高电压:电介质的极化、电导和损耗
类别:高电压技术国家电网考试专科高电压:气体放电过程及其击穿特性
类别:高电压技术国家电网考试专科高电压:固体、液体和组合绝缘的击穿特性
类别:高电压技术国家电网考试专科高电压:电气设备的绝缘试验
类别:高电压技术国家电网考试专科高电压:线路和绕组中的波过程
类别:高电压技术国家电网考试专科高电压:雷电及防雷装置
类别:高电压技术国家电网考试专科高电压:电力系统的防雷保护
类别:高电压技术国家电网考试专科高电压:电力系统内部过电压
类别:高电压技术国家电网考试专科电力系统分析:电力系统的基本概念
类别:电力系统分析国家电网考试专科电力系统分析:电力系统稳定性分析
类别:电力系统分析国家电网考试专科电力系统分析:电力系统基本元件及数学模型
类别:电力系统分析国家电网考试专科电力系统分析:不对称故障分析
类别:电力系统分析国家电网考试专科电力系统分析:电力系统的无效功率和电压调整
类别:电力系统分析国家电网考试专科电力系统分析:电力系统三相短路分析
类别:电力系统分析国家电网考试专科电力系统分析:有功平衡和频率调整
类别:电力系统分析国家电网考试专科电力系统分析:简单电力网的潮流计算
类别:电力系统分析国家电网考试专科电力系统分析:计算机潮流计算
类别:电力系统分析电网专项习题不对称故障分析
类别:电力系统分析长理培训客户端 资讯,试题,视频一手掌握
去 App Store 免费下载 iOS 客户端