¥10.00
推荐等级:A.单相接地;
B.单相断线不接地;
C.两相断线不接地;
D.电压互感器熔丝熔断。
开始考试练习点击查看答案A.断线相电流接近0,其他两相电流相等;
B.电流没有变化;
C.开关跳闸;
D.断线相电流最大,其他两相电流为0
开始考试练习点击查看答案A.产生谐波、负序、零序;
B.产生负序、零序:
C.产生谐波、负序;
D.产生谐波、零序。
开始考试练习点击查看答案A.增大
B.减小
C.不变
D.不确定
开始考试练习点击查看答案A.越低
B.越高
C.不变
D.不确定
开始考试练习点击查看答案A.单相短路电流大
B.两相短路电流大
C.三相短路电流大
D.两相短路接地短路电流大
开始考试练习点击查看答案A.
B.
C.
D.
A.
B.
C.
D.
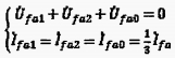
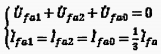
A.等于:等于
B.等于;不等于
C.不等于、等于
D.不等于;不等于
开始考试练习点击查看答案A.32.9925kA
B.34.6400kA
C.57.1429kA
D.60.0000kA
开始考试练习点击查看答案国家电网考试专科高电压:高电压下气体、液体固体放电原理2
类别:高电压技术国家电网考试专科高电压:电气设备绝缘试验2
类别:高电压技术国家电网考试专科高电压:电介质的极化、电导和损耗
类别:高电压技术国家电网考试专科高电压:气体放电过程及其击穿特性
类别:高电压技术国家电网考试专科高电压:固体、液体和组合绝缘的击穿特性
类别:高电压技术国家电网考试专科高电压:电气设备的绝缘试验
类别:高电压技术国家电网考试专科高电压:线路和绕组中的波过程
类别:高电压技术国家电网考试专科高电压:雷电及防雷装置
类别:高电压技术国家电网考试专科高电压:电力系统的防雷保护
类别:高电压技术国家电网考试专科高电压:电力系统内部过电压
类别:高电压技术国家电网考试专科电力系统分析:电力系统的基本概念
类别:电力系统分析国家电网考试专科电力系统分析:电力系统稳定性分析
类别:电力系统分析国家电网考试专科电力系统分析:电力系统基本元件及数学模型
类别:电力系统分析国家电网考试专科电力系统分析:不对称故障分析
类别:电力系统分析国家电网考试专科电力系统分析:电力系统的无效功率和电压调整
类别:电力系统分析国家电网考试专科电力系统分析:电力系统三相短路分析
类别:电力系统分析国家电网考试专科电力系统分析:有功平衡和频率调整
类别:电力系统分析国家电网考试专科电力系统分析:简单电力网的潮流计算
类别:电力系统分析国家电网考试专科电力系统分析:计算机潮流计算
类别:电力系统分析电网专项习题不对称故障分析
类别:电力系统分析长理培训客户端 资讯,试题,视频一手掌握
去 App Store 免费下载 iOS 客户端