免费
推荐等级:
A.3A
B.2A
C.1A
D.4A
开始考试练习点击查看答案
为0.4Ω,外电路电阻R为9.6Ω,则电源内阻上的电压降
和端电压U的值符合下列选项()。A.0.8Vf2V
B.0.1V,2.27
C.0.127,2.887
D.0.15V,3.12V
开始考试练习点击查看答案
A.1W
B.-1W
C.4W
D.4W
开始考试练习点击查看答案A.电导元件和电压源
B.电阻元件和电压源
C.电导元件和电流源
D.电阻元件和电流源
开始考试练习点击查看答案A.网孔电流是假想电流
B.回路电流不是偁想电流
C.回路电流法只适用于平面电路
D.网孔电流法适用于回路多的电路
开始考试练习点击查看答案
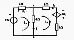
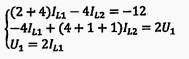
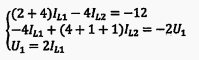
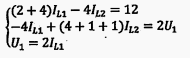
A.
B.
C.
D.
A.电压源与电阻元件
B.电压源与电导元件
C.电流源和电阻元件
D.电流源和电导元件
开始考试练习点击查看答案A.回路电流法列写的是KVL方程
B.回路电流法自动满足KCL方程
C.结点电压法列写的是KCL方程
D.结点电压法自动满足KCL方程
开始考试练习点击查看答案A.节点电压法
B.支路电流法
C.支路电压法
D.网孔电流法
开始考试练习点击查看答案
A.4Ω
B.6Ω
C.3Ω
D.5Ω
开始考试练习点击查看答案长理培训客户端 资讯,试题,视频一手掌握
去 App Store 免费下载 iOS 客户端