¥10.00
推荐等级:A.10μF/16V
B.100μF/16V
C.1μF/16V
D.100μF/160V
开始考试练习点击查看答案A.
B.
C.
D.
(0+)( )。
A.-6V
B.6V
C.OV
D.8V
开始考试练习点击查看答案
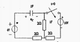
,则t>0时,i(t)等于( )。
A.2
A
B.2-
A
C.2+
A
D.2.5
A
为( )。
A.
=(2-0.667)
B.
=0.667+(2-0.667)
C.
=0.667+(2- 0.667)
D.
=(2-0.667)
A.容电压
≠0V或电感电压
≠0V,且电路有外加激励作用
B.电容电流
≠0A或电感电压
≠0V,且电路无外加激励作用
C.电容电流
≠0A或电感电流
≠0A,且电路有外加激励作用
D.电容电压
≠0V或电感电
≠0A,且电路无外加激励作用
A.RC、R/L
B.RC、L/R
C.C/R、L/R
D.C/R、R/L
开始考试练习点击查看答案
的大小为( )。
A.1V
B.2V
C.2.3V
D.4V
开始考试练习点击查看答案
A.
B.
C.
D.
A.电感电流不能跃变
B.电感电压必然跃变
C.电容电流必然跃变
D.以上说法都不对
开始考试练习点击查看答案第八章 电力系统稳定性分析(暑假班1)
类别:电分课后习题第七章 电力习题简单故障分析与计算(暑假班2)
类别:电分课后习题第七章 电力习题简单故障分析与计算(暑假班1)
类别:电分课后习题第六章 电力系统故障的基本概念(暑假班2)
类别:电分课后习题第六章 电力系统故障的基本概念(暑假班1)
类别:电分课后习题第五章 电力系统无功功率和电压调整(暑假班2)
类别:电分课后习题第五章 电力系统无功功率和电压调整(暑假班1)
类别:电分课后习题第四章 电力系统有功功率和频率调整(暑假班2)
类别:电分课后习题第四章 电力系统有功功率和频率调整(暑假班1)
类别:电分课后习题第三章 电力系统潮流分析与计算(暑假班2)
类别:电分课后习题长理培训客户端 资讯,试题,视频一手掌握
去 App Store 免费下载 iOS 客户端