¥10.00
推荐等级:
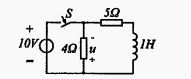
A.10V
B.8V
C.-8V
D.-10V
开始考试练习点击查看答案
A.0.6A
B.OA
C.-0.6A
D.0.8A
开始考试练习点击查看答案
A.
B.
C.
D.

A.(30~50)ms
B.(37.5~62.5)ins
C.(6~10)ms
D.(10~20)ms
开始考试练习点击查看答案
(∞)等于( )。
A.2V
B.4V
C.6V
D.8V
开始考试练习点击查看答案
A.0.2s
B.0.3s
C.0.12s
D.0.5s
开始考试练习点击查看答案
,打开后为
,则和
的关系( )。
A.
B.
C.
D.无法确定
开始考试练习点击查看答案
=3μF,
=6μF,串联时,其等效电容值为( )μF。A.9
B.3
C.6
D.2
开始考试练习点击查看答案A.
B.
C.
D.
,则电路的时间常数( )。A.0.1s
B.0.3s
C.0.4s
D.0.5s
开始考试练习点击查看答案第八章 电力系统稳定性分析(暑假班1)
类别:电分课后习题第七章 电力习题简单故障分析与计算(暑假班2)
类别:电分课后习题第七章 电力习题简单故障分析与计算(暑假班1)
类别:电分课后习题第六章 电力系统故障的基本概念(暑假班2)
类别:电分课后习题第六章 电力系统故障的基本概念(暑假班1)
类别:电分课后习题第五章 电力系统无功功率和电压调整(暑假班2)
类别:电分课后习题第五章 电力系统无功功率和电压调整(暑假班1)
类别:电分课后习题第四章 电力系统有功功率和频率调整(暑假班2)
类别:电分课后习题第四章 电力系统有功功率和频率调整(暑假班1)
类别:电分课后习题第三章 电力系统潮流分析与计算(暑假班2)
类别:电分课后习题长理培训客户端 资讯,试题,视频一手掌握
去 App Store 免费下载 iOS 客户端