A.回路(电流)必须选取b-n+1个,方程列写可少于b-n+1个
B.回路(电流)选取可少于b-n+1个,方程必须列写b-n+1个
C.回路(电流)必须选取b-n+1个,方程也必须列写b-n+1个
D.回路(电流)选取可少于b-n+1个,方程列写也可少于b--n+1个
A.KVL,n-1,KCL
B.KVL,b-n+1,KCL
C.KCL,b-n+1,KVL
D.KCL,n-1,KVL
开始考试点击查看答案A.电压源与电阻元件
B.电压源与电导元件
C.电流源和电阻元件
D.电流源和电导元件
开始考试点击查看答案A.是以“假想网孔电流”作为独立变量求解电路的方法
B.它仅使用于平面电路
C.利用基尔霍夫电流定律列写网孔电压方程,进行网孔电流的求解
D.自电阻始终取正值,互电阻的符号由通过公共支路电阻上的两个网孔电流的流向而定
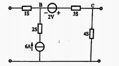
开始考试点击查看答案图示电路中,回路1、2的互电阻为( )。
A.5Ω
B.3Ω
C.2Ω
D.-2Ω
开始考试点击查看答案A.若电路中含有受控源,可将该受控源看作独立电源,再将该受控源的控制量用节点电压表示
B.当无伴电压源一端连接参考节点时,则可设该电压源电流为i,当成理想电流源处理,即增加一个变量,并增加一个补充方程(两端电压差为电压源电压)C磨存在有伴电压源,可等效为有伴电流源,再进行处理D.若存在无伴电流源,将与其串联的元件(如果有)直接略去后正常处理
开始考试点击查看答案A.b-n
B.n
C.b-n+1
D.n-1
开始考试点击查看答案
A.6和6
B.4和5
C.4和6
D.5和6
开始考试点击查看答案
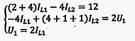
A.
B.
C.
D.
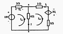
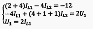
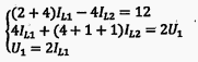
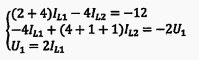
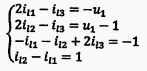
用网孔电流法列出的方程,正确的是( )。

A.
B.
C.
D.

A.2
B.3
C.-14
D.-3
开始考试点击查看答案第一章 电介质的电气特性与电气强度(周末班)
类别:高压课后习题第六章 电力系统故障的基本概念(周末班)
类别:电分课后习题第八章 电力系统稳定性基本概念和同步电机的机电特性(周末班
类别:电分课后习题第三章 电力系统潮流计算(周末班)
类别:电分课后习题第一章 电力系统的基本概念(周末班)
类别:电分课后习题第七章 电力系统简单故障分析与计算(周末班)
类别:电分课后习题第五章 电力系统无功功率和电压调整 (周末班)
类别:电分课后习题第四章 电力系统有功功率和频率调整(周末班)
类别:电分课后习题第二章 电力系统各元件特性及数学模型(周末班)
类别:电分课后习题第八章 电力系统内部过电机理(周末班)
类别:高压课后习题长理培训客户端 资讯,试题,视频一手掌握
去 App Store 免费下载 iOS 客户端