¥10.00
推荐等级:A.内部结构和元件参数
B.工作频率
C.内部结构、元件参数和工作频率
开始考试练习点击查看答案A.1个
B.2个
C.3个
开始考试练习点击查看答案A.
B.
C.
D.
A.
B.
C.
D.
A.
B.
C.A=D
D.
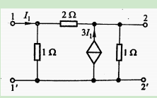
求如图所示二端口的Y参数矩阵()。
A.
B.
C.
D.
A.
B.
C.
D.
图所示的二端口网络中,设子二端口网络的传输参数矩阵为
A.
B.
C.
D.
A.2个
B.3个
C.1个
D.4个
开始考试练习点击查看答案A.
B.
C.
D.
长理培训客户端 资讯,试题,视频一手掌握
去 App Store 免费下载 iOS 客户端