¥10.00
推荐等级:
A.1A
B.-1A
C.5A
D.-5A
开始考试练习点击查看答案
A.7/110A
B.-7/110A
C.0.1A
D.-0.1A
开始考试练习点击查看答案A.7
B.2
C.0
D.8
开始考试练习点击查看答案A.支路电流法
B.回路电流法
C.节点电压法
开始考试练习点击查看答案
A.0.5A
B.0.8A
C.0.9A
D.1.0A
开始考试练习点击查看答案A.具有两个节点、支路电路较多
B.具有两个节点、两条支路
C.节点数较多、支路较少
D.节点数较多、回路电路较少
开始考试练习点击查看答案
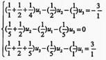
和
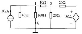
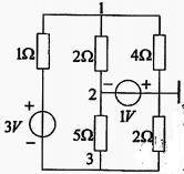
网孔电流的参考方向已标注于图中,在列写网孔电流方程时,将受控电压源当作独立电压源处理,同时,应该添加-一个受控电压源的补充方程为( )。
A.
B.
C.
D.
A.恒为正、有正负
B.但为负、有正负
C.恒为正、恒为负
D.恒为负、恒为负
开始考试练习点击查看答案
A.5个
B.6个
C.7个
D.8个
开始考试练习点击查看答案
A.
B.
C.
D.
第八章 电力系统稳定性分析(暑假班1)
类别:电分课后习题第七章 电力习题简单故障分析与计算(暑假班2)
类别:电分课后习题第七章 电力习题简单故障分析与计算(暑假班1)
类别:电分课后习题第六章 电力系统故障的基本概念(暑假班2)
类别:电分课后习题第六章 电力系统故障的基本概念(暑假班1)
类别:电分课后习题第五章 电力系统无功功率和电压调整(暑假班2)
类别:电分课后习题第五章 电力系统无功功率和电压调整(暑假班1)
类别:电分课后习题第四章 电力系统有功功率和频率调整(暑假班2)
类别:电分课后习题第四章 电力系统有功功率和频率调整(暑假班1)
类别:电分课后习题第三章 电力系统潮流分析与计算(暑假班2)
类别:电分课后习题长理培训客户端 资讯,试题,视频一手掌握
去 App Store 免费下载 iOS 客户端