¥10.00
推荐等级:
A.
B.
C.
D.
A.自阻是网孔本身的电阻之和,恒为正。
B.互阻根据网孔电流的方向有正.负之分
C.网孔电流法只适用于平面电路
D.网孔电流法自动满足KVL
开始考试练习点击查看答案A.在回路电流法中,自电阻恒为正,互电阻恒为负
B.在网孔电流法中,自电阻恒为正,互电阻恒为负
C.在节点电压法中,自电导恒为正,互电导有正.负
D.在网孔电流法中,无论网孔电流取什么方向,自电阻恒为正,互电阻恒为负
开始考试练习点击查看答案A.自电导是结点所连接的所有电阻的电导之和,恒为正
B.互电导是结点之间的电阻的电导之和,恒为负
C.方程右边的
为流出结点的电流源电流的代数和(电源电流流出结点为正)
D.结点电压自动满足KVL
开始考试练习点击查看答案在图示电路中,采用网孔电流法,下列描述中正确的是( )。
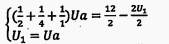
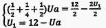
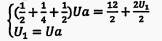
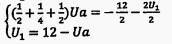
A.网孔电流
的自阻抗为6,与
的互阻抗为-2,与
的互阻抗为-1,
为
B.网孔电流
的自阻抗为11,与
的互阻抗为-2,与
的互阻抗为-6,
为
C.网孔电流
的自阻抗为11,与
的互阻抗为-1,与
的互阻抗为-6,
为
D.
,
,
自动满足KCL
A.受控源可先当作独立电源处理,列写电路方程
B.在结点电压法中,当受控源的控制量不是结点电压时,需要添加用结点电压表示控制量的补充方程
C.在回路电流法中,当受控源的控制量不是回路电流时,需要添加用回路电流表示控制量的补充方程
D.若采用回路电流法,对列写的方程进行化简,在最终的表达式中互阻始终是相等的,即:
A.有伴电流源需转换为有伴电压源
B.只有一个回路电流通过无伴电流源时,该回路电流等于电流源电流,可少写一个方程。
C.无伴电流源可以转换为无伴电压源
D.回路自电阻不包括本回路中与电流源串联的电阻
开始考试练习点击查看答案A.需要列写n-1个独立KCL方程
B.需要列写b-n+1个独立KCL方程
C.需要列写n-1个独立方程
D.需要列写b-n+1个独立KVL方程
开始考试练习点击查看答案A.支路电流法是电路分析中最基本的方法之一
B.适用于分析支路数较少的电路,
C.不适于手工计算
D.只列写KVL方程
开始考试练习点击查看答案A.受控源可以先看做独立源,列写电路方程
B.受控源可以先看做电阻元件,列写电路方程
C.回路电流法中,需将受控电压源转换为受控电流源
D.结点电压法中,需将受控电压源转换为受控电流源
开始考试练习点击查看答案第八章 电力系统稳定性分析(暑假班1)
类别:电分课后习题第七章 电力习题简单故障分析与计算(暑假班2)
类别:电分课后习题第七章 电力习题简单故障分析与计算(暑假班1)
类别:电分课后习题第六章 电力系统故障的基本概念(暑假班2)
类别:电分课后习题第六章 电力系统故障的基本概念(暑假班1)
类别:电分课后习题第五章 电力系统无功功率和电压调整(暑假班2)
类别:电分课后习题第五章 电力系统无功功率和电压调整(暑假班1)
类别:电分课后习题第四章 电力系统有功功率和频率调整(暑假班2)
类别:电分课后习题第四章 电力系统有功功率和频率调整(暑假班1)
类别:电分课后习题第三章 电力系统潮流分析与计算(暑假班2)
类别:电分课后习题长理培训客户端 资讯,试题,视频一手掌握
去 App Store 免费下载 iOS 客户端