¥10.00
推荐等级:A.若电路中含有受控源,可将该受控源看作独立电源,再将该受控源的控制量用节点电压表示
B.当无伴电压源一端连接参考节点时,则可设该电压源电流为i,当成理想电流源处理,即增加一个变量,并增加一个补充方程(两端电压差为电压源电压)C磨存在有伴电压源,可等效为有伴电流源,再进行处理D.若存在无伴电流源,将与其串联的元件(如果有)直接略去后正常处理
开始考试练习点击查看答案
A.5Ω
B.3Ω
C.2Ω
D.-2Ω
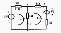
开始考试练习点击查看答案A.是以“假想网孔电流”作为独立变量求解电路的方法
B.它仅使用于平面电路
C.利用基尔霍夫电流定律列写网孔电压方程,进行网孔电流的求解
D.自电阻始终取正值,互电阻的符号由通过公共支路电阻上的两个网孔电流的流向而定
开始考试练习点击查看答案
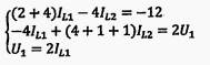
A.
B.
C.
D.
A.电导元件和电压源
B.电阻元件和电压源
C.电导元件和电流源
D.电阻元件和电流源
开始考试练习点击查看答案A.网孔电流是假想电流
B.回路电流不是假想电流
C.回路电流法只适用于平面电路
D.网孔电流法适用于回路多的电路
开始考试练习点击查看答案A.2
B.3
C.4
D.6
开始考试练习点击查看答案A.支路电流法
B.节点电压法
C.回路电流法
D.支路电压法
开始考试练习点击查看答案
A.21
B.3
C.-21
D.-3
开始考试练习点击查看答案
A.5
B.-5
C.5.21
D.33.3
开始考试练习点击查看答案第八章 电力系统稳定性分析(暑假班1)
类别:电分课后习题第七章 电力习题简单故障分析与计算(暑假班2)
类别:电分课后习题第七章 电力习题简单故障分析与计算(暑假班1)
类别:电分课后习题第六章 电力系统故障的基本概念(暑假班2)
类别:电分课后习题第六章 电力系统故障的基本概念(暑假班1)
类别:电分课后习题第五章 电力系统无功功率和电压调整(暑假班2)
类别:电分课后习题第五章 电力系统无功功率和电压调整(暑假班1)
类别:电分课后习题第四章 电力系统有功功率和频率调整(暑假班2)
类别:电分课后习题第四章 电力系统有功功率和频率调整(暑假班1)
类别:电分课后习题第三章 电力系统潮流分析与计算(暑假班2)
类别:电分课后习题长理培训客户端 资讯,试题,视频一手掌握
去 App Store 免费下载 iOS 客户端