首页 > 题库频道 > 国家电网考试 > 电工类本科 > 基础阶段 > 电路章节题

电路理论电阻电路的一般分析

¥10.00

推荐等级:
开始做题

试卷介绍

电路理论电阻电路的一般分析

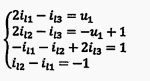
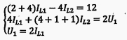
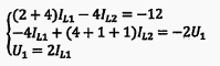
试卷预览

 1/5    1 2 3 4 5 下一页 尾页
最新试卷
热门试卷

长理培训客户端 资讯,试题,视频一手掌握

去 App Store 免费下载 iOS 客户端