¥10.00
推荐等级:A.电路的全响应与激励成正比
B.响应的暂态分量与激励成正比
C.电路的零状态响应与激励成正比
D.初始值与激励成正比
开始考试练习点击查看答案A.储能元件中的能量不能跃变
B.电路的结构或参数发生变化
C.电路有独立电源存在
D.电路中有开关元件存在
开始考试练习点击查看答案A.
B.
C.
D.
A.电阻
B.电感
C.电源
D.电容
开始考试练习点击查看答案A.电感
B.电容
C.电阻
D.电源
开始考试练习点击查看答案A.1S
B.0.5S
C.2S
D.2.5S
开始考试练习点击查看答案A.
B.
C.
D.
A.过阻尼
B.欠阻尼
C.临界阻尼
D.无阻尼
开始考试练习点击查看答案A.63.2%
B.20%
C.36.8%
D.100%
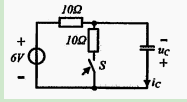
开始考试练习点击查看答案下图所示电路,在t=0瞬间将开关S闭合,则(0+)s()。
A.-6V
B.6V
C.OV
D.8V
开始考试练习点击查看答案长理培训客户端 资讯,试题,视频一手掌握
去 App Store 免费下载 iOS 客户端