¥10.00
推荐等级:电路如图,原处于稳定状态,t=0时开关S打开,求t>0时i(t)响应()。
A.(1-1.5
)A
B.(1+
)A
C.(+1.5
)A
D.(1+1.5
)A
已知电路如图所示,开关闭合后的时间常数等于()。
A.0.5s
B.1s
C.2s
D.4s
开始考试练习点击查看答案图示电路换路前已处于稳定。已知=150V,
=
=100Ω,
=50Ω,C=0.01F。试求换路后开关S两端的电压
.
A.(t)=-100+75
V
B.(t)=-50+50
V
C.(t)=-100+7
V
D.(t)=-50+50
V
图中所示电路中,t-0时开关断开,求1>0时电感电流为()。
A.=4-4
B.=4
C.=4
D.=4-4
图中所示电路中,电路原处于稳态,t=0时刻,开关由1打向2,为()。
A.=
B.=2
C.=2
D.=2
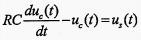
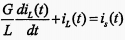
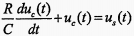
图中所示,该电路的一阶微分方程可表示为()。
A.
B.
C.
D.
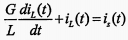
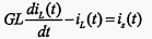
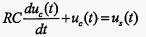
图中所示,该电路的一阶微分方程可表示为()。
A.
B.
C.
D.
A.电阻
B.独立源
C.储能
D.受控源
开始考试练习点击查看答案A.仅有稳态分量
B.仅有暂态分量
C.既有稳态分量,又有暂态分量
D.与初始储能无关
开始考试练习点击查看答案A.电感电流不能跃变
B.电感电压必然跃变
C.电容电流必然跃变
D.以上说法都不对
开始考试练习点击查看答案长理培训客户端 资讯,试题,视频一手掌握
去 App Store 免费下载 iOS 客户端