¥10.00
推荐等级:A.支路电流法
B.节点电压法
C.回路电流法
D.支路电压法
开始考试练习点击查看答案A.21
B.3
C.-21
D.-3
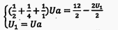
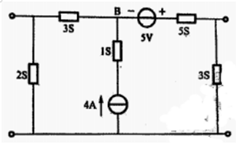
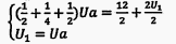
开始考试练习点击查看答案A.11-3
=5
B.11+3
=5
C.11+3
=-5
D.11-3
=-5
A.3、3、4
B.6、3、4
C.6、3、3
D.3、3、6
开始考试练习点击查看答案A.基尔霍夫电流定律
B.基尔霍夫电压定律
C.二者同时满足
D.二者均不满足
开始考试练习点击查看答案A.网孔电流,KVL
B.支路电流,KCL
C.结点电压,KCL
D.回路电流,KVL
开始考试练习点击查看答案A.I=-
B.I=-
C.I=+
D.I=-
A.5
B.-5
C.5.21
D.33.3
开始考试练习点击查看答案A.
B.
C.
D.
A.回路电流法列写的是KVL方程
B.回路电流法自动满足KCL方程
C.结点电压法列写的是KCL方程
D.结点电压法自动满足KCL方程
开始考试练习点击查看答案第一章 电介质的电气特性与电气强度(周末班)
类别:高压课后习题第六章 电力系统故障的基本概念(周末班)
类别:电分课后习题第八章 电力系统稳定性基本概念和同步电机的机电特性(周末班
类别:电分课后习题第三章 电力系统各元件特性及数学模型(周末班)
类别:电分课后习题第一章 电力系统的基本概念(周末班)
类别:电分课后习题第七章 电力系统简单故障分析与计算(周末班)
类别:电分课后习题第五章 电力系统无功功率和电压调整 (周末班)
类别:电分课后习题第四章 电力系统有功功率和频率调整(周末班)
类别:电分课后习题第二章 电力系统各元件特性及数学模型(周末班)
类别:电分课后习题第八章 电力系统内部过电机理(周末班)
类别:高压课后习题长理培训客户端 资讯,试题,视频一手掌握
去 App Store 免费下载 iOS 客户端