¥10.00
推荐等级:A.0.0001F
B.0.001F
C.0.01F
D.0.2F
开始考试练习点击查看答案A.1/150s
B.1/100s
C.1/50s
D.1s
开始考试练习点击查看答案A.电容电压=0V或电感电压
=0V,且电路有外加激励作用
B.电容电流=0A或电感电压
=0V,且电路无外加激励作用
C.电容电流=0A或电感电流
=0A,且电路有外加激励作用
D.电容电压=0V或电感电流
=0A,且电路有外加激励作用
A.容电压≠0V或电感电压
≠0V,且电路有外加激励作用
B.电容电流≠0A或电感电压
≠0V,且电路无外加激励作用
C.电容电流≠0A或电感电流
≠0A,且电路有外加激励作用
D.电容电压≠0V或电感电
≠0A,且电路无外加激励作用
A.RC、R/L
B.RC、L/R
C.C/R、L/R
D.C/R、R/L
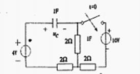
开始考试练习点击查看答案A.1V
B.2V
C.2.3V
D.4V
开始考试练习点击查看答案A.
B.
C.
D.
A.电感电流不能跃变
B.电感电压必然跃变
C.电容电流必然跃变
D.以上说法都不对
开始考试练习点击查看答案A.0A
B.2A
C.4A
D.3A
开始考试练习点击查看答案图示电路中,t=0时开关S由1改接至2,则t=0+时刻i(0+)和u(0+)为( )
A.i(0+)=1A
B.i(0+)=-1A
C.u(0+)=5V
D.u(0+)=-5V
开始考试练习点击查看答案第一章 电介质的电气特性与电气强度(周末班)
类别:高压课后习题第六章 电力系统故障的基本概念(周末班)
类别:电分课后习题第八章 电力系统稳定性基本概念和同步电机的机电特性(周末班
类别:电分课后习题第三章 电力系统各元件特性及数学模型(周末班)
类别:电分课后习题第一章 电力系统的基本概念(周末班)
类别:电分课后习题第七章 电力系统简单故障分析与计算(周末班)
类别:电分课后习题第五章 电力系统无功功率和电压调整 (周末班)
类别:电分课后习题第四章 电力系统有功功率和频率调整(周末班)
类别:电分课后习题第二章 电力系统各元件特性及数学模型(周末班)
类别:电分课后习题第八章 电力系统内部过电机理(周末班)
类别:高压课后习题长理培训客户端 资讯,试题,视频一手掌握
去 App Store 免费下载 iOS 客户端